今日もアークサインと壮絶な戦いをしてます

まず
068E: get_camera_target_point_to X1@ Y1@ Z1@
で青丸
068D: get_camera_position_to X@ Y@ Z@
で赤丸の座標を取得します
次に
050A: 0@ = distance_between_XYZ X@ Y@ Z@ and_XYZ X1@ Y1@ Z1@
で緑の線分(b)の長さを取得します
これで上の通りに三辺の長さが分かります
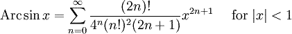
この中のアークサインを使ってθを出してやろうとがんばってました

アークサインをテイラー展開するとこの形になります
計算してやると
χ+(1/6)*χ^3+(3/40)*χ^5+(5/112)*χ^7+(35/576)*χ^9...
(χ=a/bを代入)
となります(手計算だから間違ってるかもしれないです)
まだまだ無限に続きますが、このくらいで切ります
出てきた値はラジアンなので180/πをかけるとθが求まるはずです
ここで、また面倒なことにopcodeには累乗関数がないのです
なのでfor-endで組むことに
そんなこんなして出来たスクリプトは動きません 泣きそうです
その上SAが起動しなくなりました cleo抜いてもimg戻しても治らないので再インストールするはめに
講義を聞かずにプログラムを書いてたのにー
コンテニュー?
はい
[>いいえ
あ、そうだ spanish.gxt.zipのreadme
さっと見たらひどい間違いをしてたので修正しました みんな気づいたよね?
両方とも間違ってたってことはコピペでもしたんだろうか…
---
誤差多めのflash2.csを入れて更新しました
前のと両方入ってます